NumPy 线性代数的实例
| 函数 | 描述 |
| dot | 两个数组的点积,即元素对应相乘。 |
| vdot | 两个向量的点积 |
| inner | 两个数组的内积 |
| matmul | 两个数组的矩阵积 |
| determinant | 数组的行列式 |
| solve | 求解线性矩阵方程 |
| inv | 计算矩阵的乘法逆矩阵 |
numpy.dot() 对于两个一维的数组,计算的是这两个数组对应下标元素的乘积和(数学上称之为内积);对于二维数组,计算的是两个数组的矩阵乘积;对于多维数组,它的通用计算公式如下,即结果数组中的每个元素都是:数组a的最后一维上的所有元素与数组b的倒数第二位上的所有元素的乘积和: dot(a, b)[i,j,k,m] = sum(a[i,j,:] * b[k,:,m])。
numpy.dot(a, b, out=None)
参数说明:
a : ndarray 数组 b : ndarray 数组 out : ndarray, 可选,用来保存dot()的计算结果
import numpy.matlib import numpy as np a = np.array([[1,2],[3,4]]) b = np.array([[11,12],[13,14]]) print(np.dot(a,b))
输出结果为:
[[37 40] [85 92]]
计算式为:
[[1*11+2*13, 1*12+2*14],[3*11+4*13, 3*12+4*14]]
numpy.vdot() 函数是两个向量的点积。 如果第一个参数是复数,那么它的共轭复数会用于计算。 如果参数是多维数组,它会被展开。
import numpy.matlib import numpy as np a = np.array([[1,2],[3,4]]) b = np.array([[11,12],[13,14]]) # vdot 将数组展开计算内积 print (np.vdot(a,b))
输出结果为:
130
计算式为:
1*11 + 2*12 + 3*13 + 4*14 = 130
numpy.inner() 函数返回一维数组的向量内积。对于更高的维度,它返回最后一个轴上的和的乘积。
import numpy.matlib print (np.inner(np.array([1,2,3]),np.array([0,1,0]))) # 等价于 1*0+2*1+3*0
输出结果为:
2
import numpy as np
a = np.array([[1,2], [3,4]])
print ('数组 a:')
print (a)
b = np.array([[11, 12], [13, 14]])
print ('数组 b:')
print (b)
print ('内积:')
print (np.inner(a,b))输出结果为:
数组 a: [[1 2] [3 4]] 数组 b: [[11 12] [13 14]] 内积: [[35 41] [81 95]] 数组 a: [[1 2] [3 4]] 数组 b: [[11 12] [13 14]] 内积: [[35 41] [81 95]]
内积计算式为:
1*11+2*12, 1*13+2*14 3*11+4*12, 3*13+4*14
numpy.matmul 函数返回两个数组的矩阵乘积。 虽然它返回二维数组的正常乘积,但如果任一参数的维数大于2,则将其视为存在于最后两个索引的矩阵的栈,并进行相应广播。
另一方面,如果任一参数是一维数组,则通过在其维度上附加 1 来将其提升为矩阵,并在乘法之后被去除。
对于二维数组,它就是矩阵乘法:
import numpy.matlib import numpy as np a = [[1,0],[0,1]] b = [[4,1],[2,2]] print (np.matmul(a,b))
输出结果为:
[[4 1] [2 2]]
二维和一维运算:
import numpy.matlib import numpy as np a = [[1,0],[0,1]] b = [1,2] print (np.matmul(a,b)) print (np.matmul(b,a))
输出结果为:
[1 2] [1 2]
维度大于二的数组 :
import numpy.matlib import numpy as np a = np.arange(8).reshape(2,2,2) b = np.arange(4).reshape(2,2) print (np.matmul(a,b))
输出结果为:
[[[ 2 3] [ 6 11]] [[10 19] [14 27]]]
numpy.linalg.det() 函数计算输入矩阵的行列式。
行列式在线性代数中是非常有用的值。 它从方阵的对角元素计算。 对于 2×2 矩阵,它是左上和右下元素的乘积与其他两个的乘积的差。
换句话说,对于矩阵[[a,b],[c,d]],行列式计算为 ad-bc。 较大的方阵被认为是 2×2 矩阵的组合。
import numpy as np a = np.array([[1,2], [3,4]]) print (np.linalg.det(a))
输出结果为:
-2.0
import numpy as np b = np.array([[6,1,1], [4, -2, 5], [2,8,7]]) print (b) print (np.linalg.det(b)) print (6*(-2*7 - 5*8) - 1*(4*7 - 5*2) + 1*(4*8 - -2*2))
输出结果为:
[[ 6 1 1] [ 4 -2 5] [ 2 8 7]] -306.0 -306
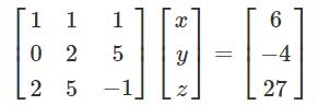
numpy.linalg.solve() 函数给出了矩阵形式的线性方程的解。
考虑以下线性方程:
x + y + z = 6 2y + 5z = -4 2x + 5y - z = 27
可以使用矩阵表示为:

如果矩阵成为A、X和B,方程变为:
AX = B 或 X = A^(-1)B
numpy.linalg.inv() 函数计算矩阵的乘法逆矩阵。
逆矩阵(inverse matrix):设A是数域上的一个n阶矩阵,若在相同数域上存在另一个n阶矩阵B,使得: AB=BA=E ,则我们称B是A的逆矩阵,而A则被称为可逆矩阵。注:E为单位矩阵。
import numpy as np x = np.array([[1,2],[3,4]]) y = np.linalg.inv(x) print (x) print (y) print (np.dot(x,y))
输出结果为:
[[1 2] [3 4]] [[-2. 1. ] [ 1.5 -0.5]] [[1.0000000e+00 0.0000000e+00] [8.8817842e-16 1.0000000e+00]]
现在创建一个矩阵A的逆矩阵:
import numpy as np
a = np.array([[1,1,1],[0,2,5],[2,5,-1]])
print ('数组 a:')
print (a)
ainv = np.linalg.inv(a)
print ('a 的逆:')
print (ainv)
print ('矩阵 b:')
b = np.array([[6],[-4],[27]])
print (b)
print ('计算:A^(-1)B:')
x = np.linalg.solve(a,b)
print (x)
# 这就是线性方向 x = 5, y = 3, z = -2 的解输出结果为:
数组 a: [[ 1 1 1] [ 0 2 5] [ 2 5 -1]] a 的逆: [[ 1.28571429 -0.28571429 -0.14285714] [-0.47619048 0.14285714 0.23809524] [ 0.19047619 0.14285714 -0.0952381 ]] 矩阵 b: [[ 6] [-4] [27]] 计算:A^(-1)B: [[ 5.] [ 3.] [-2.]]
x = np.dot(ainv,b)