在本文中,您将在示例的帮助下了解Kotlin中的构造函数(主要构造函数和次构造函数)以及初始化程序块。
构造函数是初始化类属性的简洁方法。
它是一个特殊的成员函数,在实例化(创建)对象时调用。但是,它们在Kotlin中的工作方式略有不同。
在Kotlin中,有两个构造函数:
主构造函数 - 初始化类的简洁方法
次构造函数 - 允许您放置其他初始化逻辑
主构造函数是类标头的一部分。这是一个实例:
class Person(val firstName: String, var age: Int) {
// class body
}用括号括起来的代码块是主要的构造函数:(val firstName: String, var age: Int)。
构造函数声明了两个属性:firstName(只读属性,因为它是使用关键字val声明的)和age(读写属性,因为它是用关键字var声明的)。
fun main(args: Array<String>) {
val person1 = Person("Joe", 25)
println("First Name = ${person1.firstName}")
println("Age = ${person1.age}")
}
class Person(val firstName: String, var age: Int) {
}运行该程序时,输出为:
First Name = Joe Age = 25
当创建 Person 类的对象时,将传递值 Joe 和 25,就好像Person是一个函数一样。
这将 person1 对象的 firstName 和 age 属性分别初始化为 "Joe" 和 25。
还有其他使用主要构造函数的方法。
主构造函数的语法受约束,不能包含任何代码。
为了放置初始化代码(不仅是初始化属性的代码),使用了初始化程序块。它以 init 关键字为前缀 。让我们用初始化语句块修改以上示例:
fun main(args: Array<String>) {
val person1 = Person("joe", 25)
}
class Person(fName: String, personAge: Int) {
val firstName: String
var age: Int
//初始化块
init {
firstName = fName.capitalize()
age = personAge
println("First Name = $firstName")
println("Age = $age")
}
}运行该程序时,输出为:
First Name = Joe Age = 25
这里,在创建 person1对象时,圆括号内的参数 fName 和 personAge 分别接受值 "Joe" 和 25。但是,使用 fName 和 personAge 时不使用 var 或 val,而且它们不是 Person 类的属性。
Person类声明了两个属性 firstName 和 age。
当person1对象被创建,初始化块内部代码被执行。初始化程序块不仅初始化其属性,还打印输出它们。
这是执行相同任务的另一种方法:
fun main(args: Array<String>) {
val person1 = Person("joe", 25)
}
class Person(fName: String, personAge: Int) {
val firstName = fName.capitalize()
var age = personAge
//初始化块
init {
println("First Name = $firstName")
println("Age = $age")
}
}为了区分构造函数参数和属性,使用了不同的名称(fName和FirstName,以及Personage和age)。 对于构造函数参数,更常见的是使用_firstName和_age,而不是完全不同的名称。 例如:
class Person(_firstName: String, _age: Int) {
val firstName = _firstName.capitalize()
var age = _age
// 初始化块
init {
... .. ...
}
}您可以为构造函数参数提供默认值(类似于为函数提供默认参数)。例如:
fun main(args: Array<String>) {
println("person1 被实例化")
val person1 = Person("joe", 25)
println("person2 被实例化")
val person2 = Person("Jack")
println("person3 被实例化")
val person3 = Person()
}
class Person(_firstName: String = "UNKNOWN", _age: Int = 0) {
val firstName = _firstName.capitalize()
var age = _age
//初始化块
init {
println("First Name = $firstName")
println("Age = $age\n")
}
}运行该程序时,输出为:
First Name = Joe Age = 25 person2 被实例化 First Name = Jack Age = 0 person3 被实例化 First Name = UNKNOWN Age = 0
在Kotlin中,一个类还可以包含一个或多个次构造函数。它们是使用 constructor 关键字创建的。
次构造函数在Kotlin中并不常见。 当您需要扩展提供以不同方式初始化类的多个构造函数的类时,次要构造函数的最常见用法就出现了。在学习之前,请确认已经了解Kotlin继承。
您可以在Kotlin中创建次构造函数的方法如下:
class Log {
constructor(data: String) {
// 一些代码
}
constructor(data: String, numberOfData: Int) {
// 一些代码
}
}在这里,Log 类具有两个次构造函数,但没有主要构造函数。
您可以将类扩展为:
class Log {
constructor(data: String) {
// 代码
}
constructor(data: String, numberOfData: Int) {
// 代码
}
}
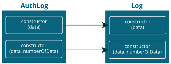
class AuthLog: Log {
constructor(data: String): super(data) {
// 代码
}
constructor(data: String, numberOfData: Int): super(data, numberOfData) {
// 代码
}
}在此,派生类 AuthLog 的构造函数调用基类 Log 的相应构造函数。为此,使用 super()。

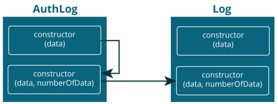
在Kotlin中,您还可以使用 this() 来从同一类的另一个构造函数(如Java中)调用构造函数。
class AuthLog: Log {
constructor(data: String): this(data, 10) {
// 代码
}
constructor(data: String, numberOfData: Int): super(data, numberOfData) {
// 代码
}
}
fun main(args: Array<String>) {
val p1 = AuthLog("Bad Password")
}
open class Log {
var data: String = ""
var numberOfData = 0
constructor(_data: String) {
}
constructor(_data: String, _numberOfData: Int) {
data = _data
numberOfData = _numberOfData
println("$data: $numberOfData times")
}
}
class AuthLog: Log {
constructor(_data: String): this("From AuthLog -> " + _data, 10) {
}
constructor(_data: String, _numberOfData: Int): super(_data, _numberOfData) {
}
}运行该程序时,输出为:
From AuthLog -> Bad Password: 10 times
注意:如果类没有主构造函数,则次构造函数必须将基类或委托初始化为另一个构造函数(如上例所示)。