HTML5 可以在文档中使用 MathML 元素,对应的标签是 <math>...</math> 。 MathML 是数学标记语言,是一种基于XML(标准通用标记语言的子集)的标准,用来在互联网上书写数学符号和公式的置标语言。
注意:大部分浏览器都支持 MathML 标签,如果你的浏览器不支持该标签,可以使用最新版的 Firefox 或 Safari 浏览器查看。
以下是一个简单的 MathML 示例:
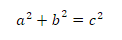
<!DOCTYPE html> <html> <head> <meta charset="UTF-8"> <title>菜鸟教程(cainiaojc.com)</title> </head> <body> <math xmlns="http://www.w3.org/1998/Math/MathML"> <mrow> <msup><mi>a</mi><mn>2</mn></msup> <mo>+</mo> <msup><mi>b</mi><mn>2</mn></msup> <mo>=</mo> <msup><mi>c</mi><mn>2</mn></msup> </mrow> </math> </body> </html>测试看看 ‹/›
运行结果图,如下所示:

以下示例添加了一些运算符:
<!DOCTYPE html> <html> <head> <meta charset="UTF-8"> <title>菜鸟教程(cainiaojc.com)</title> </head> <body> <math xmlns="http://www.w3.org/1998/Math/MathML"> <mrow> <mrow> <msup> <mi>x</mi> <mn>2</mn> </msup> <mo>+</mo> <mrow> <mn>4</mn> <mo></mo> <mi>x</mi> </mrow> <mo>+</mo> <mn>4</mn> </mrow> <mo>=</mo> <mn>0</mn> </mrow> </math> </body> </html>测试看看 ‹/›
运行结果图,如下所示:

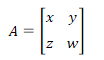
以下示例是一个 2×2 矩阵:
<!DOCTYPE html> <html> <head> <meta charset="UTF-8"> <title>菜鸟教程(cainiaojc.com)</title> </head> <body> <math xmlns="http://www.w3.org/1998/Math/MathML"> <mrow> <mi>A</mi> <mo>=</mo> <mfenced open="[" close="]"> <mtable> <mtr> <mtd><mi>x</mi></mtd> <mtd><mi>y</mi></mtd> </mtr> <mtr> <mtd><mi>z</mi></mtd> <mtd><mi>w</mi></mtd> </mtr> </mtable> </mfenced> </mrow> </math> </body> </html>测试看看 ‹/›
运行结果图,如下所示,这会生成如下结果。如果不能看到正确的结果,请使用 FireFox 3.7 或更高的版本:
