返回索引所指向的数据,如果传递的索引越界,抛出out_of_range。
创建向量v,k是索引位置。语法为:
vector<object_type> v; v.at(k) ;
k:k定义要由at()函数返回的元素的索引位置。
它返回指定位置的元素。
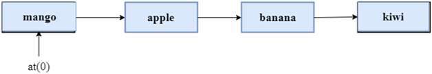
如果i = 0:

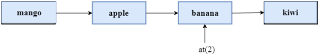
如果i = 3:

让我们看一个简单的实例。
#include<iostream>
#include<vector>
using namespace std;
int main()
{
vector<int> v1{1,2,3,4};
for(int i=0;i<v1.size();i++)
cout<<v1.at(i);
return 0;
}输出:
1234
在此示例中,at()函数访问vector的元素。